Published: 11-May-2011

2007.0 Range Rover Sport (LS), 412-02B

Auxiliary Heating

Auxiliary Heater (G427257)

DESCRIPTION AND OPERATION
COMPONENT LOCATIONS
E58310
 
ItemDescription
1FFBH (fuel fired booster heater)
2Fuel line connection with fuel tank
3Auxiliary fuel pump
GENERAL

In some markets diesel models have auxiliary heating provided by a FFBH, which boosts the temperature of the engine coolant supplied to the vehicle heater assembly. Fuel for the FFBH is taken from the vehicle fuel tank, through a fuel line attached to the fuel pump module. In the FFBH, the fuel is burned and the resultant heat output is used to heat the engine coolant. The FFBH system supplements vehicle heater performance while the engine is running, and is transparent to the driver.

Operation of the FFBH is controlled by the automatic temperature control (ATC) module and a control module in the FFBH. Operation is automatic when the engine is running, depending on the ambient air temperature and the engine coolant temperature (ECT).

AUXILIARY FUEL PUMP

The auxiliary fuel pump regulates the fuel supply to the FFBH. The pump is installed in a rubber mounting attached to the chassis, immediately in front of the fuel tank. The pump is a self priming, solenoid operated plunger pump, controlled by a pulse width modulation (PWM) signal from the control module in the FFBH. When the pump is de-energized, it provides a positive shut-off of the fuel supply.

Sectioned View of Auxiliary Fuel Pump
E43569
 
ItemDescription
1Fuel line connector
2Non return valve
3Solenoid coil
4Plunger
5Filter insert
6Fuel line connector
7O-ring seal
8Spring
9Piston
10Bush

The solenoid coil of the auxiliary fuel pump is installed around a housing which contains a plunger and piston. The piston locates in a bush, and a spring is installed on the piston between the bush and the plunger. A filter insert and a fuel line connector are installed in the inlet end of the housing. A non return valve and a fuel line connector are installed in the fuel outlet end of the housing.

While the solenoid coil is de-energized, the spring holds the piston and plunger in the closed position at the inlet end of the housing. An O-ring seal on the plunger provides a fuel tight seal between the plunger and the filter insert, preventing any flow through the pump. When the solenoid coil is energized, the piston and plunger move towards the outlet end of the housing, until the plunger contacts the bush; fuel is then drawn in through the inlet connection and filter. The initial movement of the piston also closes transverse drillings in the bush and isolates the pumping chamber at the outlet end of the housing. Subsequent movement of the piston then forces fuel from the pumping chamber through the non return valve and into the line to the FFBH. When the solenoid de-energizes, the spring moves the piston and plunger back towards the closed position. As the piston and plunger move towards the closed position, fuel flows past the plunger and through the annular gaps and transverse holes in the bush to replenish the pumping chamber.

FFBH
E43570
 
ItemDescription
1Electrical connectors and control module
2Air inlet muffler
3Exhaust pipe
4FFBH coolant outlet connection
5Circulation pump coolant inlet connection
6Exhaust muffler
7Fuel supply line

The FFBH is installed in the coolant supply line to the heater assembly. The FFBH is located in the front left corner of the engine compartment, on two mounting brackets attached to the wheelarch. Two electrical connectors connect the FFBH to the vehicle wiring.

The FFBH unit consists of:

  • A circulation pump.
  • A combustion air fan.
  • A burner housing.
  • A heat exchanger.
  • An air inlet hose and muffler.
  • An exhaust pipe and muffler.
  • A control module.
Sectioned View of FFBH
E43571
 
ItemDescription
1Combustion air fan
2Coolant outlet
3Coolant inlet
4Burner insert
5Heat exchanger
6Temperature sensor
7Exhaust
8Fuel inlet
9Evaporator
10Air inlet

Circulation Pump

The circulation pump is installed in the coolant inlet line of the FFBH to assist the coolant flow through the FFBH and the vehicle heater core. The circulation pump is attached to the rear mounting bracket of the FFBH.

The circulation pump runs continuously while the FFBH is active. While the FFBH is inactive, coolant flow is reliant on the engine coolant pump. Operation of the circulation pump is controlled by a power feed direct from the control module within the FFBH.

Combustion Air Fan

The combustion air fan regulates the flow of air into the FFBH to support combustion of the fuel supplied by the auxiliary fuel pump and to purge and cool the FFBH.

Burner Housing

The burner housing contains the burner insert and also incorporates connections for the exhaust pipe, the coolant inlet from the circulation pump and the coolant outlet to the vehicle heater.

The burner insert incorporates the fuel combustion chamber, an evaporator and a glow pin and flame sensor. Fuel from the auxiliary fuel pump is supplied to a venturi, where it evaporates and enters the combustion chamber to mix with air from the combustion air fan. The glow pin and flame sensor provides the ignition source of the fuel:air mixture and, once combustion is established, monitors the flame.

Heat Exchanger

The heat exchanger transfers heat generated by combustion to the coolant. Two sensors are installed in the heat exchanger casing to provide the control module with inputs of coolant temperature. The control module uses the temperature inputs to control system operation.

Air Inlet Hose and Muffler

A canister type muffler is included in the air inlet supply line. The muffler reduces the noise caused by induction roar.

Exhaust Pipe and Muffler

The exhaust pipe and muffler directs exhaust combustion gases to atmosphere below the front left corner of the engine. Exhaust vapor may be visible when the FFBH is running, depending on atmospheric conditions.

Control Module

The control module controls and monitors operation of the FFBH system. An internal flow of air from the combustion air fan ventilates the control module to prevent it overheating.

The control module is powered by a permanent feed from the battery junction box (BJB), and communicates with other systems on the vehicle over the medium speed controller area network (CAN) bus.

FFBH Control Module Harness Connector C0925
E50045

FFBH Control Module Harness Connector C0925 Pin Details

Pin No.DescriptionInput/Output
1 to 3Not used-
4Medium speed CAN bus lowInput/Output
5Auxiliary fuel pump power feedOutput
6Not used-
7Medium speed CAN bus highInput/Output
8Not used-
FFBH Control Module Harness Connector C0926
E50046

FFBH Control Module Harness Connector C0926 Pin Details

Pin No.DescriptionInput/Output
1Permanent battery power supplyInput
2GroundOutput

Operation of the FFBH is controlled by a status message from the ATC module to the control module. A similar status message, from the control module to the ATC module, advises the ATC module of the current operating status of the FFBH.

While the engine is running, if the ambient air temperature is less than 9 °C (48 °F) and the ECT is less than 75 °C (167 °F) the ATC module changes the status message from 'heater off' to 'supplemental heat'. The control module then changes the status message it sends the ATC module to 'supplemental heat' and starts the FFBH. The control module will not start the FFBH, or will discontinue operation, if any of the following occur:

  • The control module is in the error lockout mode (see Diagnostics, below).
  • A crash message is received from the restraints control module (RCM). For additional information, refer to: Airbag and Safety Belt Pretensioner Supplemental Restraint System (501-20B Supplementary Restraint System, Description and Operation).
  • A low fuel level message is received from the instrument cluster. For additional information, refer to: Instrument Cluster (413-01 Instrument Cluster, Description and Operation).
  • The engine is not running, or stops running for approximately 4 seconds. The time delay is included for stall protection.

If the control module does not start the FFBH, or discontinues operation, the status message to the ATC module remains at, or changes to, 'heater off'. If the ambient air temperature increases to 9 °C (48 °F), or the ECT increases to 75 °C (167 °F), the ATC module cancels supplementary heating, by changing the status message to the control module back to 'heater off'. The control module then cancels FFBH operation and changes the status message to the ATC module to 'heater off'.

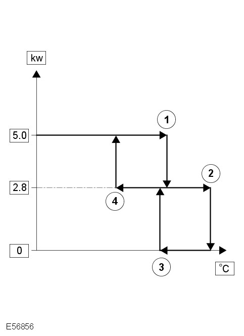
The FFBH is controlled at one of two heat output levels, 2.8 kW at part load combustion and 5 kW at full load combustion. The control module transmits the amount of fuel used by the FFBH to the instrument cluster, and the FFBH coolant temperature to the ATC module.

Start Sequence: At the beginning of a start sequence, the control module energizes the glow pin function of the glow pin and flame sensor, to pre heat the combustion chamber, starts the combustion air fan at slow speed and energizes the coolant circulation pump. After approximately 30 seconds, the control module energizes the auxiliary fuel pump at the starting sequence speed. The fuel delivered by the auxiliary fuel pump evaporates in the combustion chamber, mixes with air from the combustion air fan and is ignited by the glow pin and flame sensor. The control module then progressively increases the speed of the auxiliary fuel pump and the combustion air fan. Once combustion is established the control module switches the glow pin and flame sensor from the glow pin function to the flame sensing function to monitor combustion. From the beginning of the start sequence to stable combustion at full load takes approximately 150 seconds.

Coolant Temperature Control: While the FFBH is running, the control module cycles the FFBH between full load combustion, part load combustion and a control idle phase of operation, depending on the temperature of the coolant in the heat exchanger.

Switching Point Diagram
E56856

Switching Point Temperatures

Switching PointTemperature, °C (°F)
Figure Item No.Description
1Full load to part load87 (188)
2Part load to control idle90 (194)
3Control idle to part load79 (174)
4Part load to full load76 (168)

After the start sequence, the control module maintains full load combustion until the coolant temperature reaches switching point temperature 1. At this temperature, the control module decreases the speed of the auxiliary fuel pump and the combustion air fan to half speed, to produce part load combustion. The control module maintains part load combustion while the coolant temperature remains between switching point temperatures 2 and 4. At part load combustion the temperature of the coolant will increase or decrease depending on the amount of heat required to heat the vehicle interior. If the coolant temperature decreases to switching point temperature 4, the control module increases the speed of the auxiliary fuel pump and the combustion air fan to full speed, to return to full load combustion. If the coolant temperature increases to switching point temperature 2, the control module enters a control idle phase of operation.

On entering the control idle phase, the control module immediately switches the auxiliary fuel pump off, to stop combustion, and starts a timer for the combustion air fan. After a 2 minute cool down period, the control module switches the combustion air fan off and then remains in the control idle phase while the coolant temperature remains above switching point temperature 3. If the coolant temperature decreases to switching point temperature 3, the control module initiates a start to part load combustion. A start to part load combustion takes approximately 90 seconds.

In order to limit the build up of carbon deposits on the glow pin and flame sensor, the control module also enters the control idle phase if continuous combustion time exceeds 72 minutes (at part load, full load or a combination of both). After the cool down period, if the coolant is still in the temperature range that requires additional heat, the control module restarts the FFBH.

Shutdown: To stop the FFBH, the control module de-energizes the auxiliary fuel pump to stop combustion, but continues operation of the combustion air fan and the circulation pump for a time, to cool down the FFBH. The cool down time is 100 seconds if the FFBH was operating at part load combustion and 175 seconds if the FFBH was operating at full load combustion.

Diagnostics

The control module monitors the FFBH system for faults. Any faults detected are stored in a volatile memory in the control module, which can be interrogated by T4 via the medium speed CAN bus. A maximum of three faults and associated freeze frame data can be stored at any one time. If a further fault is detected, the oldest fault is overwritten by the new fault.

The control module also incorporates an error lockout mode of operation that inhibits operation to prevent serious faults from causing further damage to the system. In the error lockout mode, the control module immediately stops the auxiliary fuel pump, and stops the combustion air fan and circulation pump after a cool down time of approximately 2 minutes. Error lockout occurs for start sequence failures, combustion flameouts, heat exchanger casing overheat and if battery voltage is out of limits. The error lockout mode can be cleared using T4, or by disconnecting the battery power supply (connector C0926) for a minimum of 10 seconds.

Start Failure and Flameout: If a start sequence fails to establish combustion, or a flameout occurs after combustion is established, the control module immediately initiates another start sequence. The start failure or flameout is also recorded by an event timer in the control module. The event timer is increased by one after each start failure or flameout, and decreased by one if a subsequent start is successful. If the event timer increases to three (over any number of drive cycles), the control module enters the error lockout mode.

Heat Exchanger Casing Overheat: To protect the system from excessive temperatures, the control module enters the error lockout mode if the heat exchanger coolant temperature exceeds 125 °C (257 °F).

Battery Voltage Limits: 10.25 - 15.5 volts.

AUXILIARY HEATING CONTROL DIAGRAM
NOTE:

A = Hardwired connections; D = High speed CAN bus; N = Medium speed CAN bus

E43575
 
ItemDescription
1Fuse 28E, BJB
2FFBH
3Auxiliary fuel pump
4Instrument cluster
5engine control module (ECM)
6ECT sensor
7ATC module
8Ambient air temperature sensor